Hi there,
With new release of plotly 6.0 I am not able to make a Figure fill its container anymore. Maybe this has to do with the switch to Anywidget. I am using jupyterlab v4.3 and plotly 6.0.0rc0.
Can anyone help?
Example
import ipywidgets as widgets
import plotly.graph_objs as go
from ipywidgets import HTML, VBox
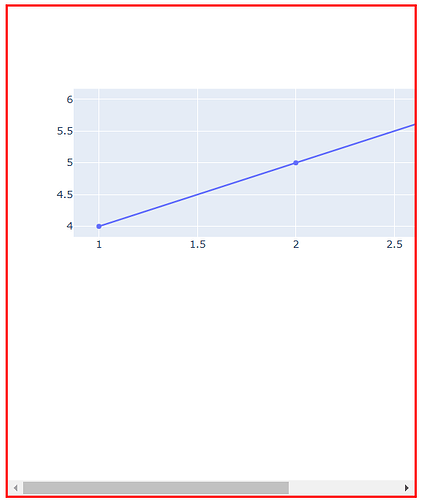
fig = go.FigureWidget(data=[go.Scatter(x=[1, 2, 3], y=[4, 5, 6])])
custom_css = """
<style>
.plot-container {
width: 100%;
height: 100%;
}
</style>
"""
fig.add_class("plot-container")
container = VBox(
[fig],
layout=widgets.Layout(
width="500px",
height="600px",
border="solid red",
),
)
display(HTML(custom_css), container)

